野球観戦のTIPSとして・・好不調の統計分析(第二幕:チームの連勝連敗)
前回記事では、打者の打撃成績の好不調の波についてみた。本日は少し目線を変えて、チームの連勝連敗のデータについてみてみよう。
6連勝・6連敗以上は年に一度あるかどうかの大型連勝・連敗
まず、単刀直入に1950年以降のNPB各球団の連勝・連敗の記録を集計し、チーム・シーズン毎の平均値をとると次図のとおりとなる。当然といえば当然のインプリケーションを2点述べると、第一に、連勝数と連敗数の分布は、コインの表裏のような関係にあることもあり、概ね同じような形状の折れ線グラフとなる。第二に、連勝・連敗数が大きいほど発生回数は少なくなり、6以上の大型連勝・連敗は、年間発生回数が1.2回弱である。

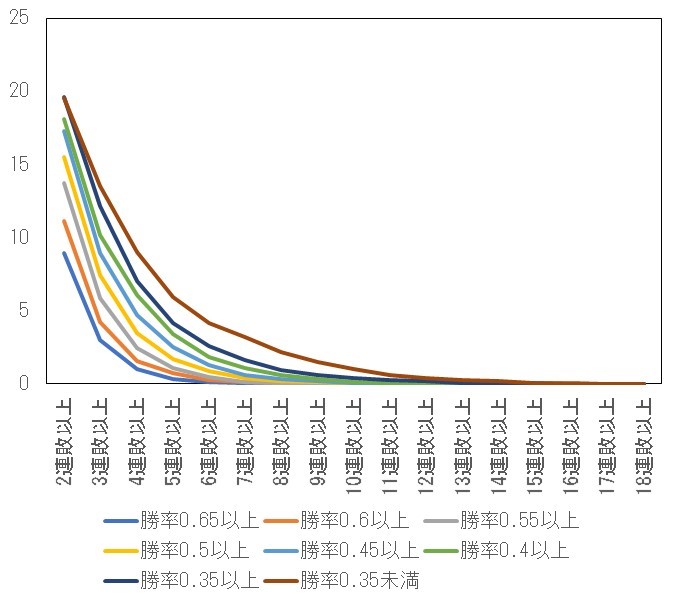
そして、上記の集計結果を、シーズン勝率の水準別に整理すると次図のとおりであり、当然のことながら勝率の高いチームほど連勝記録が多く、勝率の低いチームほど連敗記録が出易い。勝率が6割5分を超えるようなチーム状態だと、6連勝以上の大型連勝を年4回程度期待できるし、一方、勝率が3割5分未満のチームでは、6連敗以上の大型連敗が年4回程度生じ得ることが分かる。こうやってみると、2019年のカープは11連勝と11連敗をともに経験したわけだが、統計的にみても、かなりアップダウンの激しいシーズンだったと振り返らざるを得ない。


大型連勝・連敗の長さや発生頻度は、長期的には統計的な理論値どおり
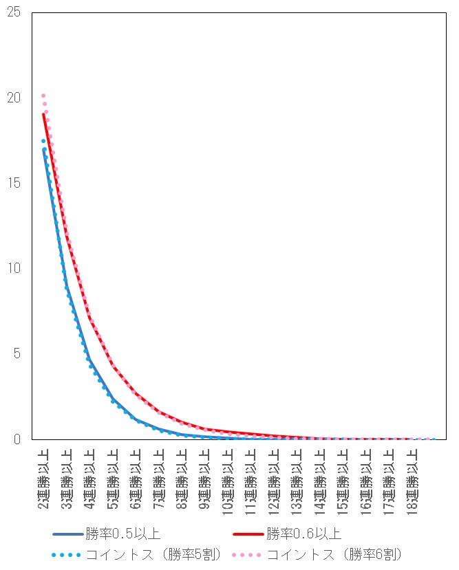
この連勝・連敗数のデータは、勝率の高さに応じランダムに勝敗を発生させ、コンピュータに10万試合を戦わせた結果と概ね一致する。次図は、勝率5割のチームと6割のチームについて、実データとコンピュータによる計算結果を比較したものであり、実データと「理論値」がかなり一致していることが確認できる。そのため、連勝のときは、戦力の高さへの誇りと連勝による高揚感がないまぜになり、理屈はどうであれともかく嬉しいわけだが、大型連敗のときに憂えるべきは連敗自体ではなく「その勝率の水準に落ち着いてしまう戦力」であるべき、ということだ。

因みに、日本シリーズのような短期決戦についても、長い目で見ると連勝・連敗がかなりの程度、コイントスどおりとなっている。コイントスでは、4戦先勝制のもとで日本一になったチームが「2連勝以上」する回数は1.16回、「3連勝以上」が0.58回、「4連勝が0.23回」と計算される。これに対し、日本シリーズの実績値(1950年~2020年)は、「2連勝以上」が1.17回、「3連勝以上」が0.61回、「4連勝」が0.28回となっている。なお、サンプル数のより多いMLBのワールドシリーズについてみると、さらに実績値がコイントスと近似する。ワールドシリーズが4戦先勝制となった1905年以降のデータをとると(因みに、ワールドシリーズ導入初年(1903年)は5戦先勝制であり、翌04年はナ・リーグを制覇したNYジャイアンツが対戦を拒否)、「2連勝以上」が1.15回、「3連勝以上」が0.57回、「4連勝」が0.24回となっている。
大型連勝・連敗中の得失点の「収支」は、そのチームのシーズン平均と比べ±3点程度も違う
このように大型連勝・連敗中を確率論的に捉えると、その戦力にして起こり得べくして起きたもの、という無味乾燥な話に終始してしまうのだが、少しだけ原因・背景を掘り下げるべく、6連勝以上・6連敗以上の大型連勝・連敗中の得失点数と、そのチームのシーズン平均の得失点数とを比較したのが次図となる。
まず、大型連勝中についてみると、88.2%のケースでシーズン平均より得点数が多く、かつ、失点数が少ない。得失点数のシーズン平均との較差は、得点数について平均+1.47点、失点数について▲1.35点であり、この両者を差し引きすることにより求められる、得失点の「収支」はシーズン平均と比べ+2.82点となっている。

大型連敗についても概ねこれと正反対の結果となっている。大型連敗中は、91.2%のケースにおいて、シーズン平均より得点数が少なく失点数が多い。やや特徴的なのは、大型連敗中の得点数のシーズン平均との較差が▲0.97点なのに対し、失点数については較差が+2.55点となっている。つまり、大型連敗は「投崩」による場合が多いことが窺える。得失点数の「収支」は、シーズン平均より▲3.51点悪化している。

野球における1試合あたり得失点数は4.5点程度なので、これだけ2.5~3点もの水準で「収支」が良化(悪化)すると、勝つべくして勝っている(負けるべくして負けている)ことが分かる。
これをもう少し言い換えると、セイバーメトリクスの世界では、得失点と勝率との関係について、勝率が概ね「(総得点の2乗)÷(総得点の2乗+総失点の2乗)」と一致するといわれている(ピタゴラス勝率)。ここで簡単な試算として、平均得失点数がともに4.5点のチーム(ピタゴラス勝率は当然、5割ちょうど)と比べ、それよりも「得点数が+1.47点、失点数が▲1.35点」の大型連勝中チームと、「得点数が▲0.97点、失点数が+2.55点」の大型連敗中チームのピタゴラス勝率を求めると、それぞれ.782、.201となる。このように勝率が8割のチームであれば7~8試合のうちに6勝するのは概ね確率どおりといえるし、勝率2割のチームが6敗するのも確率どおりだ。つまり、ピタゴラス勝率からみても、大型連勝・連敗中は、そのような試合結果になってしまう程度に得点数・失点数が増減していると言える。
野球が人間の営為である以上、好不調はつきものであり、不調時にはやがて回復するまで温かく見守るしかないし、統計的にみても、戦力水準対比でいつまでも続くものではない。実際、2018年のカープは6連敗しても優勝したわけだし、打撃不振や大型連敗に直ちに憂える必要はないが、連敗の長さという意味でも喫する回数という意味でも、大型連敗をし過ぎないチーム作りは重要だと思う。
今年のカープが、連勝を多く楽しみ祝えるシーズンとなってくれることを祈りつつ、また、連敗を喫し過ぎないチーム力を維持してシーズンを戦い抜けることに期待し、筆を置きたい。